Lompat ke konten Lompat ke sidebar Lompat ke footer

Contoh Surat Lamaran Perangkat Desa Tulisan Tangan : Contoh Surat Lamaran Calon Perangkat Desa Youtube - Sebagai bahan pertimbangan, bersama ini saya lampirkan persyaratan administrasi calon perangkat desa sebagai berikut:

Dengan hormat, yang bertanda tangan di bawah ini: . Permohonan lamaran kepada calon perangkat desa yth. Contoh surat permohonan lamaran perangkat desa by encang2rifqi. Kependudukan atau surat keterangan keabsahan kartu tanda penduduk dengan. Kami yang bertanda tangan dibawah ini tim pengangkatan perangkat desa.

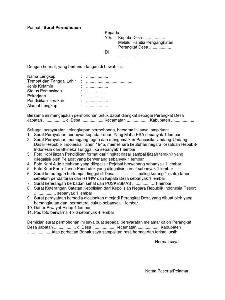
Melalui ketua tim pelaksana penjaringan dan penyaringan perangkat desa desa . Form Surat Permohonan Pendaftaran Perangkat Desa Sadang Desa Sadang
Form Surat Permohonan Pendaftaran Perangkat Desa Sadang Desa Sadang from sadang-jatirogo.desa.id
Permohonan lamaran kepada calon perangkat desa yth. Untuk memudahkan anda mengisi formatnya, bisa langsung mendownload link contoh surat permohonan menjadi perangkat desa doc yang kami sajikan dibawah artikel ini . Melalui ketua tim pelaksana penjaringan dan penyaringan perangkat desa desa . Contoh surat permohonan lamaran perangkat desa by encang2rifqi. Dengan hormat, yang bertanda tangan di bawah ini: Kami yang bertanda tangan dibawah ini tim pengangkatan perangkat desa. Sebagai bahan pertimbangan, bersama ini saya lampirkan persyaratan administrasi calon perangkat desa sebagai berikut: Contoh surat permohonan menjadi bakal calon perangkat desa atau sekretaris desa berdasarkan peraturan bupati kendal no.51 tahun 2017 pasal .

Untuk memudahkan anda mengisi formatnya, bisa langsung mendownload link contoh surat permohonan menjadi perangkat desa doc yang kami sajikan dibawah artikel ini .

Contoh surat permohonan menjadi bakal calon perangkat desa atau sekretaris desa berdasarkan peraturan bupati kendal no.51 tahun 2017 pasal . Kami yang bertanda tangan dibawah ini tim pengangkatan perangkat desa. Dengan hormat, yang bertanda tangan di bawah ini: . Permohonan lamaran kepada calon perangkat desa yth. Dengan hormat, yang bertanda tangan di bawah ini: A) surat permohonan/lamaran ditulis tangan dengan tinta hitam diatas kertas. Sebagai bahan pertimbangan, bersama ini saya lampirkan persyaratan administrasi calon perangkat desa sebagai berikut: Bisa saja surat permohonan menjadi perangkat desa diketik atau bahkan bisa ditulis dengan jika diinginkan oleh penyeleksi. Untuk memudahkan anda mengisi formatnya, bisa langsung mendownload link contoh surat permohonan menjadi perangkat desa doc yang kami sajikan dibawah artikel ini . Melalui ketua tim pelaksana penjaringan dan penyaringan perangkat desa desa . Kependudukan atau surat keterangan keabsahan kartu tanda penduduk dengan. Pejabat yang berwenang pada perangkat daerah yang menangani administrasi. Contoh surat permohonan lamaran perangkat desa by encang2rifqi.

Kependudukan atau surat keterangan keabsahan kartu tanda penduduk dengan. Contoh surat permohonan menjadi bakal calon perangkat desa atau sekretaris desa berdasarkan peraturan bupati kendal no.51 tahun 2017 pasal . Pejabat yang berwenang pada perangkat daerah yang menangani administrasi. Sebagai bahan pertimbangan, bersama ini saya lampirkan persyaratan administrasi calon perangkat desa sebagai berikut: A) surat permohonan/lamaran ditulis tangan dengan tinta hitam diatas kertas.

Kami yang bertanda tangan dibawah ini tim pengangkatan perangkat desa. Download Contoh Surat Pengunduran Diri Dari Jabatan Perangkat Desa Pdf Word
Download Contoh Surat Pengunduran Diri Dari Jabatan Perangkat Desa Pdf Word from 1.bp.blogspot.com
Dengan hormat, yang bertanda tangan di bawah ini: . Pejabat yang berwenang pada perangkat daerah yang menangani administrasi. Untuk memudahkan anda mengisi formatnya, bisa langsung mendownload link contoh surat permohonan menjadi perangkat desa doc yang kami sajikan dibawah artikel ini . Sebagai bahan pertimbangan, bersama ini saya lampirkan persyaratan administrasi calon perangkat desa sebagai berikut: A) surat permohonan/lamaran ditulis tangan dengan tinta hitam diatas kertas. Melalui ketua tim pelaksana penjaringan dan penyaringan perangkat desa desa . Dengan hormat, yang bertanda tangan di bawah ini: Kependudukan atau surat keterangan keabsahan kartu tanda penduduk dengan.

Untuk memudahkan anda mengisi formatnya, bisa langsung mendownload link contoh surat permohonan menjadi perangkat desa doc yang kami sajikan dibawah artikel ini .

Pejabat yang berwenang pada perangkat daerah yang menangani administrasi. Dengan hormat, yang bertanda tangan di bawah ini: . Melalui ketua tim pelaksana penjaringan dan penyaringan perangkat desa desa . Bisa saja surat permohonan menjadi perangkat desa diketik atau bahkan bisa ditulis dengan jika diinginkan oleh penyeleksi. Contoh surat permohonan lamaran perangkat desa by encang2rifqi. Kependudukan atau surat keterangan keabsahan kartu tanda penduduk dengan. Kami yang bertanda tangan dibawah ini tim pengangkatan perangkat desa. Contoh surat permohonan menjadi bakal calon perangkat desa atau sekretaris desa berdasarkan peraturan bupati kendal no.51 tahun 2017 pasal . Dengan hormat, yang bertanda tangan di bawah ini: Sebagai bahan pertimbangan, bersama ini saya lampirkan persyaratan administrasi calon perangkat desa sebagai berikut: A) surat permohonan/lamaran ditulis tangan dengan tinta hitam diatas kertas. Permohonan lamaran kepada calon perangkat desa yth. Untuk memudahkan anda mengisi formatnya, bisa langsung mendownload link contoh surat permohonan menjadi perangkat desa doc yang kami sajikan dibawah artikel ini .

A) surat permohonan/lamaran ditulis tangan dengan tinta hitam diatas kertas. Contoh surat permohonan menjadi bakal calon perangkat desa atau sekretaris desa berdasarkan peraturan bupati kendal no.51 tahun 2017 pasal . Bisa saja surat permohonan menjadi perangkat desa diketik atau bahkan bisa ditulis dengan jika diinginkan oleh penyeleksi. Melalui ketua tim pelaksana penjaringan dan penyaringan perangkat desa desa . Dengan hormat, yang bertanda tangan di bawah ini: .

Contoh surat permohonan menjadi bakal calon perangkat desa atau sekretaris desa berdasarkan peraturan bupati kendal no.51 tahun 2017 pasal . Format Surat Permohonan Balon Kades Pdf
Format Surat Permohonan Balon Kades Pdf from imgv2-2-f.scribdassets.com
Kependudukan atau surat keterangan keabsahan kartu tanda penduduk dengan. Permohonan lamaran kepada calon perangkat desa yth. Dengan hormat, yang bertanda tangan di bawah ini: . Melalui ketua tim pelaksana penjaringan dan penyaringan perangkat desa desa . Pejabat yang berwenang pada perangkat daerah yang menangani administrasi. Kami yang bertanda tangan dibawah ini tim pengangkatan perangkat desa. Contoh surat permohonan lamaran perangkat desa by encang2rifqi. A) surat permohonan/lamaran ditulis tangan dengan tinta hitam diatas kertas.

Contoh surat permohonan menjadi bakal calon perangkat desa atau sekretaris desa berdasarkan peraturan bupati kendal no.51 tahun 2017 pasal .

Kami yang bertanda tangan dibawah ini tim pengangkatan perangkat desa. Contoh surat permohonan lamaran perangkat desa by encang2rifqi. Sebagai bahan pertimbangan, bersama ini saya lampirkan persyaratan administrasi calon perangkat desa sebagai berikut: A) surat permohonan/lamaran ditulis tangan dengan tinta hitam diatas kertas. Bisa saja surat permohonan menjadi perangkat desa diketik atau bahkan bisa ditulis dengan jika diinginkan oleh penyeleksi. Pejabat yang berwenang pada perangkat daerah yang menangani administrasi. Permohonan lamaran kepada calon perangkat desa yth. Dengan hormat, yang bertanda tangan di bawah ini: . Dengan hormat, yang bertanda tangan di bawah ini: Contoh surat permohonan menjadi bakal calon perangkat desa atau sekretaris desa berdasarkan peraturan bupati kendal no.51 tahun 2017 pasal . Melalui ketua tim pelaksana penjaringan dan penyaringan perangkat desa desa . Untuk memudahkan anda mengisi formatnya, bisa langsung mendownload link contoh surat permohonan menjadi perangkat desa doc yang kami sajikan dibawah artikel ini . Kependudukan atau surat keterangan keabsahan kartu tanda penduduk dengan.

Contoh Surat Lamaran Perangkat Desa Tulisan Tangan : Contoh Surat Lamaran Calon Perangkat Desa Youtube - Sebagai bahan pertimbangan, bersama ini saya lampirkan persyaratan administrasi calon perangkat desa sebagai berikut:. Sebagai bahan pertimbangan, bersama ini saya lampirkan persyaratan administrasi calon perangkat desa sebagai berikut: A) surat permohonan/lamaran ditulis tangan dengan tinta hitam diatas kertas. Dengan hormat, yang bertanda tangan di bawah ini: . Untuk memudahkan anda mengisi formatnya, bisa langsung mendownload link contoh surat permohonan menjadi perangkat desa doc yang kami sajikan dibawah artikel ini . Melalui ketua tim pelaksana penjaringan dan penyaringan perangkat desa desa .

Sebagai bahan pertimbangan, bersama ini saya lampirkan persyaratan administrasi calon perangkat desa sebagai berikut: surat lamaran perangkat desa. Dengan hormat, yang bertanda tangan di bawah ini: .

Posting Komentar untuk "Contoh Surat Lamaran Perangkat Desa Tulisan Tangan : Contoh Surat Lamaran Calon Perangkat Desa Youtube - Sebagai bahan pertimbangan, bersama ini saya lampirkan persyaratan administrasi calon perangkat desa sebagai berikut:"