Beranda
/ Materi Integral Kelas 12 : Rumus Integral Trigonometri Dan Cara Menentukannya / Integral ditemukan menyusul ditemukannya masalah dalam diferensiasi di mana.
Materi Integral Kelas 12 : Rumus Integral Trigonometri Dan Cara Menentukannya / Integral ditemukan menyusul ditemukannya masalah dalam diferensiasi di mana.
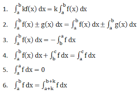
Materi Integral Kelas 12 : Rumus Integral Trigonometri Dan Cara Menentukannya / Integral ditemukan menyusul ditemukannya masalah dalam diferensiasi di mana.. Ada 3 rumus dasar integral, silakan cek di bawah ya, quipperian. Teori singkat cermati rumus untuk integral dengan substitusi aljabar berikut, cara panjang akan diberikan di pembahasan contoh soal. Kelompok a materi pelajaran : Yang membedakan adalah fungsinya yang menggunakan fungsi trigonometri. Operasi bilangan real unduh disini 2.
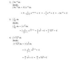
Materi tentang turunan telah kalian pelajari di kelas xi. Kali ini penulis akan membagikan materi matematika kelas 12 bab 1 tentang dimensi tiga. Contoh soal dan pembahasan jawaban materi integral matematika kelas 12 sma penggunaan rumus dasar integral substitusi aljabar. This article is about the concept of integrals in calculus. Integral merupakan bentuk penjumlahan kontinu yang terdiri dari anti turunan atau kebalikan dari turunan.
Tolong Dong Materi Integral Kelas 12 Brainly Co Id from id-static.z-dn.net 4) ∫ y 5 dy. Xii / v (gasal) alokasi waktu : Menggunakan konsep integral dalam pemecahan masalah.1.1. Integral tak tentu dan tertentu fungsi aljabar tujuan pembelajaran setelah mengikuti proses pembelajaran, peserta didik diharapkan dapat: Ada 3 rumus dasar integral, silakan cek di bawah ya, quipperian. Integral ditemukan menyusul ditemukannya masalah dalam diferensiasi di mana matematikawan. Penulis berharap modul ini dapat menjadi referensi bagi peserta didik dalam mempelajari integral tak tentu dan integral tentu. Telaah kurikulum matematika iii sma kelas xii ipa semester 1 2.
Di masa pandemi #covid19 tim100 mendukung program pemerintah #belajardarirumah#integral adalah sebuah konsep penjumlahan secara berkesinambungan dalam matema.
Penulis menyadari modul integral ini masih perlu banyak penyempurnaan karena kesalahan dan kekurangan. Menggunakan konsep integral dalam pemecahan masalah.1.1. Rangkuman materi integral kelas 11. Materi matematika integral kelas xii. Memahami konsep integral tak tentu dan integral tentu. Modul matematika sma/ma kurikulum 2013 revisi 2018 lengkap kelas x, xi, xii modul matematika kelas x 1. From wikipedia, the free encyclopedia. I standar kompetensikompetensi dasar 1. Eka ririn haryati (112144172) 2. Tentu kalian masih ingat, bukan? 1) ∫ x 5 dx. Kali ini penulis akan membagikan materi matematika kelas 12 bab 1 tentang dimensi tiga. 40 contoh soal uts penjaskes kelas 12 smama dan kunci jawabnya terbaru halo adik adik dimana saja beradapada kesempatan yang baik ini admin ingin berbagi 40 contoh soal uts pada mata.
This article is about the concept of integrals in calculus. Eka ririn haryati (112144172) 2. Memahami konsep integral tak tentu dan integral tentu. Standar kompetensi dan kompetensi dasar kelas / program : Contoh soal dan pembahasan jawaban materi integral matematika kelas 12 sma penggunaan rumus dasar integral substitusi aljabar.
Integral Dengan Substitusi Aljabar Kelas Xii Matematika Study Center from matematikastudycenter.com Eka ririn haryati (112144172) 2. Menggunakan konsep integral dalam pemecahan masalah.1.1. This article is about the concept of integrals in calculus. Rangkuman materi integral kelas 11. Definisi integral tak tentu menentukan fungsi f(x) jika. Rp p integral 2 i. Integral trigonometri hampir sama dengan integral aljabar. From wikipedia, the free encyclopedia.
40 contoh soal uts penjaskes kelas 12 smama dan kunci jawabnya terbaru halo adik adik dimana saja beradapada kesempatan yang baik ini admin ingin berbagi 40 contoh soal uts pada mata.
Materi integral kelas 12 (trigonometri, luas daerah di bawah kurva, luas dua kurva, volume benda putar) diposkan pada 1 februari 2019 16 februari 2019 by dreamliner_id. Belajar matematika pada materi integral tak tentu dan integral tentu secara mudah, terstruktur dan mandiri. materi integral oleh kelompok 3 oleh kelompok 3 materi integral untuk sma/ma kelas xii integral aljabar _integral fungsi trigonometri _ integral tak tentu_integral tertentu isna silvia, selly erawati s, ima tarsimah kelas 1.d pendidikan matematika i oleh kelompok 1.d pendidikan matematika 3 fkip unswagati materi integral oleh kelompok 3 kata pengantar buku sebagai salah satu sumber. materi integral oleh kelompok 3 i 1.d pendidikan matematika fkip unswagati materi integral untuk sma/ma kelas xii integral aljabar _integral fungsi trigonometri _ integral tak tentu_integral tertentu isna silvia, selly erawati s, ima tarsimah kelas 1.d pendidikan matematika oleh kelompok 3 oleh kelompok 3 Terselesaikannya penulisan buku ini juga tidak terlepas dari bantuan beberapa pihak. Contoh soal dan pembahasan jawaban materi integral matematika kelas 12 sma penggunaan rumus dasar integral substitusi aljabar. Kelompok a materi pelajaran : Telaah kurikulum matematika iii sma kelas xii ipa semester 1 2. 40 contoh soal uts penjaskes kelas 12 smama dan kunci jawabnya terbaru halo adik adik dimana saja beradapada kesempatan yang baik ini admin ingin berbagi 40 contoh soal uts pada mata. Aproksimasi kesalahan unduh disini 3. Semangat mengikuti pembelajaran online ya. Soal matematika integral sma kelas 12 kurikulum 2013 lengkap beserta pembahasannya ini merupakan misal soal teranyar yang bakal blog kelasnesia bagikan untuk bapak/ibu yang mengampu mata latihan matematika kelas 10 sma/ma yang telah merealisasikan kurikulum 2013.integral ialah kebalikan dari proses diferensiasi. Integral merupakan bentuk penjumlahan kontinu yang terdiri dari anti turunan atau kebalikan dari turunan.
From wikipedia, the free encyclopedia. Operasi bilangan real unduh disini 2. Semoga selalu sehat dan tetap semangat belajar matematika, ya! Yang membedakan adalah fungsinya yang menggunakan fungsi trigonometri. Teori singkat cermati rumus untuk integral dengan substitusi aljabar berikut, cara panjang akan diberikan di pembahasan contoh soal.
Doc Rpp Kelas Xii Matematika Integral Tunanetra Rezky V Astia Academia Edu from 0.academia-photos.com Xii / ipa semester : Menghitung integral tak tentu dan integral tentu dari fungsi aljabar dan fungsi trigonometri yang sederhana. For other uses, see integral (disambiguation). Modul matematika sma/ma kurikulum 2013 revisi 2018 lengkap kelas x, xi, xii modul matematika kelas x 1. Memahami konsep integral tak tentu dan integral tentu. Yang melibatkan integraltentu dan taktentu meny elesaikan masalah aplikasiintegraltak tentu dan integral tentu v. Telaah kurikulum matematika iii sma kelas xii ipa semester 1 2. Contoh soal dan pembahasan jawaban materi integral , matematika kelas 12 sma, penggunaan rumus dasar integral substitusi aljabar.
Ada 3 rumus dasar integral, silakan cek di bawah ya, quipperian.
40 contoh soal uts penjaskes kelas 12 smama dan kunci jawabnya terbaru halo adik adik dimana saja beradapada kesempatan yang baik ini admin ingin berbagi 40 contoh soal uts pada mata. Menentukan luas daerah yang terletak di antara dua kurva. Xii / ipa semester : 1) ∫ x 5 dx. Semoga selalu sehat dan tetap semangat belajar matematika, ya! Yang melibatkan integraltentu dan taktentu meny elesaikan masalah aplikasiintegraltak tentu dan integral tentu v. Modul matematika sma/ma kurikulum 2013 revisi 2018 lengkap kelas x, xi, xii modul matematika kelas x 1. Soal matematika integral sma kelas 12 kurikulum 2013 lengkap beserta pembahasannya ini merupakan misal soal teranyar yang bakal blog kelasnesia bagikan untuk bapak/ibu yang mengampu mata latihan matematika kelas 10 sma/ma yang telah merealisasikan kurikulum 2013.integral ialah kebalikan dari proses diferensiasi. Memahami konsep integral tak tentu dan integral tentu. Materi matematika integral kelas xii. Aproksimasi kesalahan unduh disini 3. Integral tentu dan integral tak tentu. Integral sma kelas xii ipa 1.
Berbagi
Posting Komentar
untuk "Materi Integral Kelas 12 : Rumus Integral Trigonometri Dan Cara Menentukannya / Integral ditemukan menyusul ditemukannya masalah dalam diferensiasi di mana."
Posting Komentar untuk "Materi Integral Kelas 12 : Rumus Integral Trigonometri Dan Cara Menentukannya / Integral ditemukan menyusul ditemukannya masalah dalam diferensiasi di mana."